Foto 2023 Triangolo Della Formula Corrente

Triangolo Della Formula Corrente


Pagina iniziale


triangolo della formula corrente

Corso di Elettronica per ragazzi 7-12: tensione, corrente, resistenza | Elettronica Open Source

triangolo della formula corrente

Come si calcola la caduta di tensione su una resistenza | Studenti.it

triangolo della formula corrente

Trasformazione stella triangolo

triangolo della formula corrente

Legge Di Massa Con Volt E &triangolo Nel Diagramma Di Struttura Del Circuito Elettrico Illustrazione Vettoriale - Illustrazione di ampère, tabella: 237076938

triangolo della formula corrente

Modulo 2 Unità 10: Potenza nei circuiti alternati monofase

triangolo della formula corrente

Trasformazioni stella-triangolo - Wikipedia

triangolo della formula corrente

Trasformazioni Triangolo-Stella e Stella-Triangolo di resistenze – ElettroLinux

triangolo della formula corrente

Modulo 2 Unità 10: Potenza nei circuiti alternati monofase

triangolo della formula corrente

Corso di elettrotecnica ed elettronica: richiami di Matematica – regola del triangolo – Lezione 7 | Michele Maffucci

triangolo della formula corrente

Trasformazioni Triangolo-Stella e Stella-Triangolo di resistenze – ElettroLinux

triangolo della formula corrente

Matematicamente.it • [Elettrotecnica] Calcolo corrente di linea sistema trifase - Leggi argomento

triangolo della formula corrente

Circuiti reali in regime sinusoidale - Impedenza

triangolo della formula corrente

Puoi spiegare il flusso delle correnti e delle tensioni di sequenza zero nelle linee e nelle fasi dei collegamenti a stella e a triangolo? - Quora

triangolo della formula corrente

Atrimarinare

triangolo della formula corrente

TRASFORMAZIONE TRIANGOLO - STELLA - ppt scaricare

triangolo della formula corrente

Circuito e corrente – Domande – SOS Matematica

triangolo della formula corrente

Formule per la trasformazione stella triangolo

triangolo della formula corrente

Sistema trifase stella triangolo - Elettronica Semplice

triangolo della formula corrente

Esercizio guidato impedenza equivalente, triangolo delle impedenze, sfasamento corrente-tensione - YouTube

triangolo della formula corrente

Legge di Ohm nella Sigaretta Elettronica | Svapoboss

triangolo della formula corrente

GUIDA ESERCIZI: Metodo della perdita di potenza ammissibile | The Last Theory

triangolo della formula corrente

Sistema trifase stella triangolo - Elettronica Semplice

triangolo della formula corrente

Equivalenza - ElectroYou

triangolo della formula corrente

Matematicamente.it • [Elettrotecnica] Calcolo corrente di linea sistema trifase - Leggi argomento

triangolo della formula corrente

Problemi Induzione | PDF

triangolo della formula corrente

Idrogeno hi-res stock photography and images - Alamy

triangolo della formula corrente

Motori Asincroni Trifase

triangolo della formula corrente

Atrimarinare

triangolo della formula corrente

Lab.2M_La legge di Ohm | PDF

triangolo della formula corrente

Verifica a taglio uniassiale, biassiale e ciclico nelle sezioni in CA - Geostru Blog

triangolo della formula corrente

Teorema di Boucherot | Appunti di Elettrotecnica | Docsity

triangolo della formula corrente

Appunti Di ELETTROTECNICA: CORRENTE CONTINUA - TRANSITORIO - CORRENTE ALTERNATA

triangolo della formula corrente

Https://it.123rf.com/license_summary.php

triangolo della formula corrente

Tutorial di Elettrotecnica - La corrente alternata - Lezione 19 - YouTube

triangolo della formula corrente

La correzione del fattore di potenza nei caricatori di bordo impiegati nel settore automotive - Elettronica Plus

triangolo della formula corrente

Cosa succede a livello atomico in un conduttore al passaggio di corrente elettrica? Cosa cambia nel suddetto cavo al variare della tensione e della corrente? - Quora

triangolo della formula corrente

Il triangolo della didattica - ppt scaricare

triangolo della formula corrente

Vario images hi-res stock photography and images - Alamy

triangolo della formula corrente

Targa adesiva "Pericolo corrente" vinile 17 x 17 cm | OBI

triangolo della formula corrente

Cosa dice la legge di Ohm - Energit

triangolo della formula corrente

Matematicamente.it • [Elettrotecnica] Calcolo corrente di linea sistema trifase - Leggi argomento

triangolo della formula corrente

Effetto Poole-Frenkel - Wikipedia

triangolo della formula corrente

Esercizi Corrente continua

triangolo della formula corrente

Tensione e corrente omopolari:definizioni e misure - ElectroYou

triangolo della formula corrente

Esercizio guidato impedenza equivalente, triangolo delle impedenze, sfasamento corrente-tensione - YouTube

triangolo della formula corrente

Motore elettrico

triangolo della formula corrente

Https://www.alamy.it/licenses-and-pricing/?v=1

triangolo della formula corrente

TRASFORMAZIONE TRIANGOLO - STELLA - ppt scaricare

triangolo della formula corrente

PDF) Generatore di corrente alternata costruito con poligoni regolari rotanti | Giovanni Borghi - Academia.edu

triangolo della formula corrente

Il sistema trifase - ElectroYou

triangolo della formula corrente

Matematicamente.it • [Elettrotecnica] Calcolo corrente di linea sistema trifase - Leggi argomento

triangolo della formula corrente

Potenza elettrica - Wikipedia

triangolo della formula corrente

Sistema trifase stella triangolo - Elettronica Semplice

triangolo della formula corrente

Trasformazioni Triangolo-Stella e Stella-Triangolo di resistenze – ElettroLinux

triangolo della formula corrente

E ay hi-res stock photography and images - Page 18 - Alamy

triangolo della formula corrente

Caduta di tensione industriale - ElectroYou

triangolo della formula corrente

Triangolo equilatero in cartoncino da 3/4” - Corrado Tedeschi Editore

triangolo della formula corrente

Corrente di linea statorica di un motore asincrono trifase

triangolo della formula corrente

Trasduttore di temperatura con uscita in corrente circuito di condizionamento esercizio svolto - YouTube

triangolo della formula corrente

Rosso e Nero (Le isole) (Italian Edition): De Felice, Renzo: 9788885987951: Amazon.com: Books

triangolo della formula corrente

Fili ai vertici di un triangolo - Aula di Scienze

triangolo della formula corrente

Tenuta interruttori differenziali a sovratensioni di

triangolo della formula corrente

Comunicato Ufficiale n. 33 – Regolamento e Formula Campionato Italiano Beach Soccer 2022-23 – FSSI

triangolo della formula corrente

Vario images hi-res stock photography and images - Alamy

triangolo della formula corrente

Ndr Srl >> Collegamento a stella o triangolo: la mini guida

triangolo della formula corrente

Circuito a ponte di Wheatstone | Estensimetro | HBM

triangolo della formula corrente

Imposta Turbina Eolica Lampadina Presa Elettrica Insegna Di Alta Tensione Batteria Per Auto Triangolo Del Punto Esclamativo Generatore Di Corrente Diesel E Icona Della Spina Vettore - Immagini vettoriali stock e altre

triangolo della formula corrente

Campo magnetico di due fili paralleli percorsi da corrente

triangolo della formula corrente

Ipotenusa triangolo rettangolo

triangolo della formula corrente

TENSIONE ALTERNATA

triangolo della formula corrente

Esercizi sui sistemi trifase

triangolo della formula corrente

Caratteristiche e differenza tra collegamento a stella e a triangolo in elettronica | Informatica e Ingegneria Online

triangolo della formula corrente

Come rappresentare le linee di campo magnetico generate da un filo percorso da corrente: verso e intensità - WeSchool

triangolo della formula corrente

Modulo 3 Unità 2b - Collegamento a triangolo

triangolo della formula corrente

Inchiesta Plusvalenze: accolto il ricorso della Procura, 15 punti di penalizzazione alla Juventus | FIGC

triangolo della formula corrente

Il_sistema_trifase [Appunti di Elettronica ed Elettrotecnica - classe quarta]

triangolo della formula corrente

Calcolo condensatore sfasamento - www.itieffe.com

triangolo della formula corrente

Collegamento a triangolo e a stella – A Scuola

triangolo della formula corrente

Esercizi sui Trifase

triangolo della formula corrente

Tutto su Teorema di Pitagora: formula | Studenti.it

triangolo della formula corrente

Collegamento di resistenze

triangolo della formula corrente

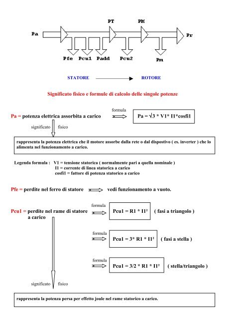
STATORE ROTORE Significat

triangolo della formula corrente

GEOMETRIA PIANA - Formule del Triangolo