Foto 2023 Percentile

Percentile


Pagina iniziale


percentile

Percentile rank - Wikipedia

percentile

What is a Percentile | Definition of Percentile

percentile

Percentile in Statistics: Overview & How to Calculate | Simplilearn

percentile

How to Understand Score Percentiles

percentile

Percentile - Wikipedia

percentile

How Is a Percentile Rank Different from a Standard Score? | Springer

percentile

2.4 - Measures of Position

percentile

Percentile - Wikipedia

percentile

90th Percentile in Performance Testing | How to calculate |

percentile

Percentile Rank Formula Examples - Excel Dashboard School

percentile

Identifying the Problem of Percentile Ranks - Illuminate Education

percentile

What is percentile? Definition and meaning

percentile

How to Calculate Percentile for Each Group in R and Exploratory | by Kan Nishida | learn data science

percentile

Percentile rank - Wikipedia

percentile

Percentiles, Percentile Rank & Percentile Range: Definition & Examples - Statistics How To

percentile

Percentiles

percentile

Percentile in Statistics: Overview & How to Calculate | Simplilearn

percentile

Understanding Percentiles: Unlocking Insights from Statistical Comparisons

percentile

Statistical Variability (Standard Deviation, Percentiles, Histograms)

percentile

Percentiles ~ A Maths Dictionary for Kids Quick Reference by Jenny Eather

percentile

Analysis of the USMLE Percentile Rankings – USMLE Gunner

percentile

Computing Percentiles

percentile

Percentile | Statistical | Formulas | Analyze Data | Documentation | Learning

percentile

Percentile Analysis – RetentionX

percentile

The difference between percentages vs. percentiles (and why it matters)

percentile

Percentile Rank Formula | Calculate Percentile Rank in Excel | Examples

percentile

Percentile in Statistics: Overview & How to Calculate | Simplilearn

percentile

Benchmarking Data Show Reduced Turnover with "The 80th Percentile Principle" - Leading Home Care

percentile

Percentile Rank (PR) and Percentile Rank Range – Star Help

percentile

Percentile in Statistics: Overview & How to Calculate | Simplilearn

percentile

Percentiles: Interpretations and Calculations - Statistics By Jim

percentile

Reference intervals and percentiles implications for the healthy patient

percentile

How to Calculate Percentiles | Algebra | Study.com

percentile

Percentiles Concepts and Definitions

percentile

Percentiles: Interpretations and Calculations - Statistics By Jim

percentile

Introduction to Looker Studio Function: PERCENTILE - Understanding its Functionality, Limitations and Effective Usage | Looker Studio

percentile

Dear Doctor: What Does BMI Percentile Mean for My Child? - Obesity Action Coalition

percentile

Averages, medians & percentiles

percentile

95th Percentile Calculation - NetCraftsmen, a BlueAlly Company

percentile

SAT Percentiles: An Ultimate Guide from AP Guru

percentile

The Distribution of Percentiles

percentile

Percentile Images – Browse 944 Stock Photos, Vectors, and Video | Adobe Stock

percentile

5.1.3 Percentiles – Simple Stats Tools

percentile

Percentiles Uses

percentile

Finding Percentiles with the Normal Distribution

percentile

6.2: Discrete Data Percentiles and Quartiles - Statistics LibreTexts

percentile

Percentiles

percentile

Understanding Percentiles - Medical Associates of Northwest Arkansas

percentile

95th percentile and other bandwidth metering methods | Noction

percentile

Percentile - Concept | Statistics | JoVe

percentile

What Is a Percentile? | Vacation Rental Metrics & Percentile Explained

percentile

Pediatric Growth Reference

percentile

Percentile in Statistics: Overview & How to Calculate | Simplilearn

percentile

How To Calculate The Percentiles | Axibase Time Series Database Use Cases - ATSD

percentile

ADF Performance Monitor: Monitoring with Percentiles

percentile

685 Percentile Images, Stock Photos, 3D objects, & Vectors | Shutterstock

percentile

95th Percentile Calculation – ManageEngine OpManager

percentile

95th Percentile - KeyCDN Support

percentile

Why are Percentiles More Useful than Averages in Performance Testing

percentile

Help Online - Origin Help - The (Plot Details) Percentile Tab

percentile

Percentile function - Minitab

percentile

Finding the Percentile of a Data Set | Formula & Example - Video & Lesson Transcript | Study.com

percentile

How to Calculate PERCENTILE in Excel (Easy Formula + Examples)

percentile

What does it mean for my five-year-old to be in the 101 percentile for height? - Quora

percentile

Numeracy Screener - G3 Symbolic Percentile 82

percentile

95th Percentile Calculation – ManageEngine OpManager

percentile

Percentile Distributions as a Dimension in Tableau - InterWorks

percentile

Excel PERCENTILE function | Exceljet

percentile

How to Add Percentiles to the Chart? Storyteller – Forsta Visualizations

percentile

What do Growth Charts mean? - Care.com Resources

percentile

Percentiles and Percentile Ranks | What I Learned Wiki | Fandom

percentile

Find Percentile with Mean and Standard Deviation (Normal Curves) | Statistics - YouTube

percentile

What does 85th percentile mean? A concept to improve traffic safety | All Traffic Solutions

percentile

Percentile Rank Formula | Calculate Percentile Rank in Excel | Examples

percentile

Paediatric Percentile Charts

percentile

Child Weight Percentile Calculator - Inch Calculator

percentile

Difference Between Percentage and Percentile - Shiksha Online

percentile

40Th Percentile Calculator - Calculator Academy

percentile

A Visual to Understanding Percentiles | Speech therapy materials, Language therapy activities, Speech therapy activities

percentile

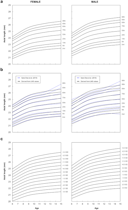
LMS parameters, percentile, and Z-score growth curves for axial length in Chinese schoolchildren in Wuhan | Scientific Reports

percentile

How to use PERCENTILE in Google Sheets - Guide

percentile

Percentile Formula - Percentile Definition, Calculation

percentile

685 Percentile Images, Stock Photos, 3D objects, & Vectors | Shutterstock

percentile

How to Calculate Percentile in PostgreSQL - Ubiq BI

percentile

Example of patients with height below the 3rd percentile ( A ), with... | Download Scientific Diagram

percentile

What Are Percentiles? :: Documentation

percentile

Numeracy Screener - G1 Symbolic Percentile 69

percentile

Calculating percentile | Modeling data distributions | AP Statistics | Khan Academy - YouTube

percentile

Averages Can Be Misleading: Try a Percentile | Elastic Blog